Her birimiz, çevredeki nesneler ve yapılar üzerinde su damlacıklarının oluşumuna defalarca tanık olduk. Bu, çevredeki havanın dondan getirilen bir nesnenin üzerinde soğumasıyla açıklanmaktadır. Su buharı ile doygunluk oluşur ve nesnede çiğ yoğunlaşır.
Dairedeki pencerelerin buğulanması aynı niteliktedir. Pencerelerin ağlamasının nedeni, nem ve ortam sıcaklığından etkilenen yoğunlaşma süreçleridir.

Yoğuşma, çiğ noktası kavramı ile yakından ilgilidir. Tanımlanan fenomeni daha iyi anlamak için, bu faktörü daha ayrıntılı olarak ele almak yeterlidir.
Çiğ noktası. Nedir?
Çiy noktası, içerdiği su buharının yoğuşmaya başladığı çevreleyen havanın soğuma sıcaklığıdır, çiy oluşturarak, yani yoğuşma sıcaklığıdır.
Bu gösterge iki faktöre bağlıdır: hava sıcaklığı ve bağıl nemi. Bir gazın çiğlenme noktası, bağıl nemi ne kadar yüksekse, yani gerçek ortam sıcaklığına yaklaşır. Tersine, nem ne kadar düşükse, çiy noktası o kadar düşük olur.
Çiğ noktası - formül, hesaplama ve görselleştirme
Çiğ noktası nedir
Çiğ noktası, içerdiği su buharının doygunluğa ulaşması ve yoğuşmaya başlaması için havanın soğuması gereken sıcaklıktır. Basitçe söylemek gerekirse, yoğunlaşmanın meydana geldiği sıcaklıktır.
Çiy noktası sıcaklığı yalnızca iki parametre ile belirlenir: sıcaklık ve bağıl nem. Bağıl nem ne kadar yüksekse, çiy noktası o kadar yüksek ve gerçek hava sıcaklığına daha yakın olur. Bağıl nem ne kadar düşükse, gerçek sıcaklığın çiğlenme noktası o kadar düşük olur.
Çiğ noktası tablosu
İç ortam havasının çeşitli sıcaklıkları (-5 ° C ila 35 ° C) ve bağıl nemi (% 40 ila% 95) için çiğlenme noktası sıcaklığını gösteren bir tablo, Ek R ila SP 23-101-2004 referanslarında bulunabilir " Binaların termal koruma tasarımı ". Ne yazık ki, bu tabloya birkaç yazım hatası girdi. Sizin için tablo içeren bir dosya hazırladım, orada yazım hataları düzeltildi.
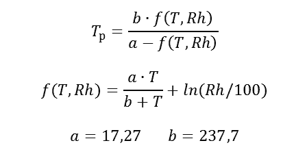
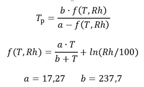
Çiğ noktası formülü
Formülü, hava sıcaklığı T (° C) ve bağıl nem oranı Rh (%) 'ye bağlı olarak kabaca Tr (° C) çiğ noktası hesaplamak için kullanabilirsiniz:


Formül, 0 ° C ile 60 ° C arasındaki hava sıcaklığı T aralığında ± 0.4 ° C, çiğlenme noktası sıcaklığı Tr 0 ° C ile 50 ° C arasında, bağıl nem Rh% 1 ile% 100 arasında bir hataya sahiptir.
Çiğ noktası cihazları
Psikrometre (higrometre psikrometrik) - havadaki nemi ve sıcaklığı ölçmek için bir cihaz. Psikrometre, biri sıradan kuru termometre, diğeri ise nemlendirme cihazı olmak üzere iki alkollü termometreden oluşur. Nemin buharlaşması nedeniyle nemlendirilmiş termometre soğur. Nem ne kadar düşükse, sıcaklığı da o kadar düşük olur. % 100 nemde termometre okumaları aynıdır. Bağıl nemi belirlemek için bir psikrometrik tablo kullanılır. Bu tür cihazlar şu anda yalnızca laboratuvar koşullarında kullanılmaktadır.
Bina denetimi uygulamasında en uygun olanı, dijital bir ekranda sıcaklık ve bağıl nem göstergesi olan taşınabilir elektronik termo-higrometrelerdir. Bazı termo-higrometre modellerinde ayrıca bir çiğ noktası göstergesi bulunur.


Termal kamerada çiğlenme noktası hesaplaması
Bazı termal görüntüleme cihazları, termal görüntüleme sırasında sıcaklığın çiğlenme noktasının altında olduğu yüzeyleri açıkça gösteren, gerçek zamanlı olarak çiğlenme noktasını hesaplama ve termogramda bir izoterm görüntüleme gibi yerleşik bir işleve sahiptir. Böyle bir işlev, örneğin inşaat amaçlı termal görüntüleme cihazlarının FLIR Systems serisinde mevcuttur ("Bina" dan "B" serisi).


Çiğ noktası izotermi daha sonra bilgisayardaki işleme programında termograma eklenebilir. Hesaplama için sıcaklığı ve nemi ayarlamanız gerekecektir.İzoterm, sıcaklığı çiğlenme noktasının altında olan termogramdaki tüm yüzeyleri boyayacaktır. Lütfen bu işlevin yalnızca bir termal görüntüleme araştırması koşulları altında yoğuşma tehlikesi olan alanları gösterdiğini unutmayın. Dış sıcaklık artarsa ve içerideki nem düşerse, tehlike bölgeleri termogramdan kaybolur (yapılar daha sıcak olur ve çiy noktası daha düşük olur). Aşağıda FLIR ve TESTO programlarının ekran görüntüleri bulunmaktadır.


İnşaatta çiğlenme noktası
Bina yapılarının çalışması sırasında yoğuşma ve çiğlenme noktasının değeri, çiy noktasının konumu veya duvarlardaki olası yoğuşma düzlemi ve termal görüntüleme fotoğrafını kullanarak yapısal kusurların çiğlenme noktası kriteri ile değerlendirilmesi hakkında yazacağım. aşağıdaki yayınlardan biri.
Çiğ noktası nasıl hesaplanır?
Çiğ noktası hesaplaması, inşaat dahil yaşamın birçok alanında önemlidir. Uzun süredir kiralanan yeni bina ve tesislerdeki yaşam kalitesi, bu göstergenin tanımının doğruluğuna bağlıdır. Peki, çiğlenme noktasını nasıl belirlersiniz?
Bu göstergeyi belirlemek için, bağıl nem Rh (%) ve hava sıcaklığı T (° C) bağımlılığı ile belirlenen çiğ noktası sıcaklığı Tr (° C) yaklaşık hesaplaması için aşağıdaki formülü kullanın:


Hesaplamak için hangi cihazlar kullanılıyor?
Peki pratikte çiğ noktası nasıl hesaplanır? Bu göstergenin belirlenmesi, nem ve hava sıcaklığını ölçen iki alkol termometreden oluşan bir cihaz olan bir psikrometre kullanılarak gerçekleştirilir. Bu günlerde esas olarak laboratuvarlarda kullanılmaktadır.


Binaları incelemek için portatif termo-higrometreler kullanılır - elektronik cihazlar, bağıl nem ve hava sıcaklığı ile ilgili verilerin görüntülendiği dijital bir ekranda. Bazı modellerde, çiy noktası bile görüntülenir.
Ayrıca, bazı termal kameraların çiğlenme noktasını hesaplama işlevi vardır. Aynı zamanda ekranda, çiğ noktasının altındaki sıcaklıklara sahip yüzeylerin gerçek zamanlı olarak görülebildiği bir termogram görüntülenir.


Isıtıcılar ve nem yoğunlaşmasındaki rolü hakkında
Bazı ısıtıcılar, nem düştüğünde nem salmaktadır. Selüloz: Başka bir marka ile piyasaya çıkan Ecowool ve doğal muadilleri, yoğuşma olmadan nemi emip daha sonra kolayca verebilen lifli bir yapıya sahiptir. Ve bazıları yalıtım özelliklerini kaybederken biriktirir. Mineral yünü, poliüretan köpük levhaları, PPP levhaları kurutmak çok zordur. Ecowool, ısı yalıtım özelliklerinden ödün vermeden odadaki havanın nemini düzenleyerek, yüzeylerde ve duvar içinde çiy noktası riskini azaltır. Eksiz, sıcak havanın soğuk yüzeylere, soğuk akıntıların iç bölmelere geçmesine izin vermez.
İnşaatta çiğlenme noktası nasıl belirlenir?
Çiğ noktası ölçümü, bina yapımında proje geliştirme aşamasında bile yapılması gereken çok önemli bir aşamadır. Odanın içindeki hava yoğunlaşması olasılığı, doğruluğuna ve sonuç olarak, içinde daha fazla yaşamanın rahatlığına ve dayanıklılığına bağlıdır.
Herhangi bir duvarın belirli bir nem içeriği vardır. Bu nedenle duvarın malzemesine ve yalıtımın kalitesine bağlı olarak üzerinde yoğuşma oluşabilir. Çiy noktası sıcaklığı şunlara bağlıdır:
- iç ortam nemi;
- sıcaklığı.
Dolayısıyla, yukarıdaki tabloyu kullanarak +25 derece ve% 65 bağıl nem oranına sahip bir odada, 17,5 derece ve altındaki yüzeylerde yoğuşma oluşacağını belirleyebilirsiniz. Bir kural hatırlanmalıdır: Odadaki nem ne kadar düşükse, çiy noktası ile odadaki sıcaklık arasındaki fark o kadar büyük olur.


Çiy noktasının yerini etkileyen ana faktörler şunlardır:
- iklim;
- iç ve dış sıcaklık;
- içeride ve dışarıda nem;
- odada yaşam tarzı;
- odadaki ısıtma ve havalandırma sistemlerinin işleyiş kalitesi;
- duvar kalınlığı ve malzemesi;
- zeminlerin, tavanların, duvarların vb. yalıtımı
Çiğ noktası
Belirli bir basınçtaki çiğ noktası, içerdiği su buharının doygunluğa ulaşması ve çiğ olarak yoğunlaşmaya başlaması için havanın soğuması gereken sıcaklıktır.
Çiy noktası, bağıl nem ve hava sıcaklığı ile belirlenir. Bağıl nem ne kadar yüksekse, çiy noktası o kadar yüksek ve gerçek hava sıcaklığına daha yakın olur. Bağıl nem ne kadar düşükse, gerçek sıcaklığın çiğlenme noktası o kadar düşük olur. Bağıl nem% 100 ise, çiğ noktası gerçek sıcaklık ile aynıdır.
Gerçek hayat örneği
- herhangi bir nesne dondan sıcak bir odaya getirilir. Böyle bir şeyin yüzeyinin üzerindeki hava, çiğlenme noktasının altında (mevcut nem ve sıcaklık için) soğur ve yüzeyde "çiy" oluşur. Havadaki nem içeriği ne kadar yüksekse, yoğuşma işleminin başlaması için hava sıcaklığı ile aynı nesnenin sıcaklığı arasındaki sıcaklık farkı o kadar az gereklidir. Daha sonra nesne oda sıcaklığına kadar ısınır ve yoğuşma buharlaşır. Aslında, soğuktan getirilen ev aletlerinin hemen çalıştırılmaması tavsiyesinin nedeni budur.
Havanın çiğlenme noktası, odadaki nemi ve yoğuşma olasılığını gösteren en önemli parametredir ancak kontrol edilemez. Bu fiziksel bir terimdir. Çiğ noktası, nem ve oda sıcaklığı arasındaki ilişkiyi gösteren grafiklerde bulunabilir.
Cam ünitesindeki iç camın sıcaklığı, iç havanın mevcut bağıl neminde çiğlenme noktası sıcaklığına eşit veya daha düşükse, cam üzerinde yoğunlaşma görünebilir.
Odadaki nemi düşürmenin birkaç yolu vardır:
1. Odadaki hava sıcaklığının 20 ° C'den düşük olmaması ve bağıl nemin% 30-40'ın üzerinde olmaması tavsiye edilir. 2. Odanın günde en az 3 defa 10-15 dakika havalandırılması tavsiye edilir. Plastik pencereler satın alırken, yöneticilere mikro iklim düzenleyicilerin ek yeteneklerini sorun: taraklar, mikro havalandırma, kış havalandırması, havalandırma valfleri, odayı havalandırmanın en rahat ve etkili yolunu seçmenize olanak tanır. 3. Havalandırma davlumbazının bir taslağı olmalıdır. İç kapıların açık tutulması tavsiye edilir. (kapı ile zemin arasında 15-20 mm boşluk bırakın) 4. Isıtma cihazları (radyatörler) engelleyici nesnelerden (kanepeler, mobilyalar, karartma perdeleri vb.)
Çiğ noktası tablosu. Örnek: oda sıcaklığı + 20 ° С ve bağıl nem% 40 ise; cam üzerinde yoğunlaşmanın meydana gelebileceği çiy noktası + 6 ° C'dir.
| Ow. / T | 0 | 2,5 | 5 | 7,5 | 10 | 12,5 | 15 | 17,5 | 20 | 22,5 | 25 |
| 20 | -20 | -18 | -16 | -14 | 12 | -9,8 | -7,7 | -5,6 | -3,6 | -1,5 | -0,5 |
| 30 | -15 | -13 | -11 | -8,9 | -6,7 | -4,5 | -2,4 | -0,2 | 1,9 | 4,1 | 6,2 |
| 40 | -12 | -9,7 | -7,4 | -5,2 | -2,9 | -0,7 | 1,5 | 3,8 | 6,0 | 8,2 | 10,5 |
| 50 | -9,1 | -6,8 | -4,5 | -2,2 | 0,1 | 2,4 | 4,7 | 7,0 | 9,3 | 11,6 | 13,9 |
| 60 | -6,8 | -4,4 | -2,1 | 0,3 | 2,6 | 5,0 | 7,3 | 9,7 | 12,0 | 14,4 | 16,7 |
| 70 | -4,8 | -2,4 | 0,0 | 2,4 | 4,8 | 7,2 | 9,6 | 12,0 | 14,4 | 16,8 | 19,1 |
| 80 | -3,0 | -0,6 | 1,9 | 4,3 | 6,7 | 9,2 | 11,6 | 14,0 | 16,4 | 18,9 | 21,3 |
| 90 | -1,4 | 1,0 | 3,5 | 6,0 | 8,4 | 10,9 | 13,4 | 15,8 | 18,3 | 20,8 | 23,2 |
| 100 | 0,0 | 2,5 | 5,0 | 7,5 | 10,0 | 12,5 | 15,0 | 17,5 | 20,0 | 22,5 | 25,0 |
Odanın havasında bulunan kısmi su buharının basıncı (iç ortam havasının mutlak nemi eв), iç ortam havasının sıcaklığına tв ve bağıl nemine bağlıdır.
ev = E (t) \ varphi
Bağımlılık, Şekil 1'de grafiksel olarak sunulmuştur:
Düşük bir dış sıcaklıkta, camın iç yüzeyindeki sıcaklık (τv.p.), odanın içindeki hava sıcaklığından (odanın ortasında yerden 1,5 m yükseklikte) önemli ölçüde daha düşük olacaktır. Bu durumda, su buharı E'nin kısmi basıncının τw.p. sıcaklığına karşılık gelen sınırlayıcı değeri, hesaplanan e = f (tw, \ varphiw) değerinden daha düşük olabilir ve bu da " Camın soğuk iç yüzeyinde yoğuşma veya don şeklinde aşırı "su buharı. E = f (τv.p.) Ve ev = f (tv, \ varphiв) 'nin eşit olacağı sıcaklık değeri, çiy noktası sıcaklığı.İç hava sıcaklığı tв = 20 ° C ve iç hava nemi \ varphiв =% 60 olan 4-12-4 tek odacıklı çift camlı pencerenin iç yüzeyinde yoğuşma olasılığını belirleyelim. dış sıcaklık tn = -30 ° C'ye düşer.
- GOST 24866-99 "Yapıştırılmış çift camlı pencereler" e göre, 4-12-4 çift camlı bir pencerenin azaltılmış ısı transfer direnci Ro = 0,30 m 2 ° C / W'dir.
- İç hava sıcaklığı tв = 20 ° С ve bağıl nem \ varphiв =% 60 için çiğlenme noktasını belirleyin. Şekil 1'e göre, tв = 20 ° C'lik bir sıcaklıkta su buharı E'nin kısmi basıncının sınırlama değeri 17,53 mm Hg'dir. Ev = E (t) \ varphi mutlak hava nemi e = 17,53 * 0,6 = 10,52 mm Hg denklemine göre, t = 12,0 ° C çiğlenme noktasına karşılık gelir
- Cam ünitenin iç yüzeyindeki sıcaklığı belirleyin.
τv.p. dış ortam sıcaklığı -30 ° C'ye düştüğünde. Bu durumda toplam sıcaklık farkı δT = Tv-Tn = 20 + 30 = 50 ° C'dir.
Kapalı yapının içten dışa kalınlığındaki sıcaklık düşüşünün ısıl dirençteki değişimle orantılı olduğu gerçeğinden hareketle, yani
δtв = (δ.Т / Ro) xRв nerede
Rw = 0.12 - camın iç yüzeyindeki ısı transferine direnç.
Buna göre \ varphitв = (50 / 0.30) x0.12 = 19.99 ° C elde ederiz
Cam ünitesinin iç yüzeyindeki sıcaklık, belirli bir oda için çiğlenme noktası sıcaklığından önemli ölçüde daha düşük olan τv.p. = 20-19.99 = 0.01 ° C'ye eşit olacaktır (t = 12 ° C)
Böylece, iç hava sıcaklığı tв = 20 ° С ve iç hava nemi \ varphiв =% 60 olan bir odaya monte edilmiş tek odacıklı çift camlı bir pencerenin iç yüzeyindeki sıcaklık, dış sıcaklığın şu değere düşmesi şartıyla: tн = -30 ° С, sıcaklık çiylenme noktasından önemli ölçüde daha düşük olacaktır, bu da bol yoğunlaşmaya ve odanın içinde cam üzerinde buz oluşumuna yol açacaktır.
Yani özetlemek gerekirse, bu tür örnek koşulların bazı endüstriyel işletmeler, otoparklar, alışveriş merkezleri vb. İçin kabul edilebilir olduğunu söyleyebiliriz. yani, insanların kalıcı ikametgahı olarak tasarlanmamış binalar için [1]
Her zaman pencere firmaları
bir çiğ noktasıyla karşı karşıya kalan - özellikle kışın sonsuz yoğunlaşma sorunu (pencereler "akar", "donda" ağlama ", yoğunlaşma cam ve çerçevelere bol miktarda düşer) kimseyi dinlendirmez. Bu sorun, özellikle henüz kendileri için pencere yüklemeyenleri ve gelecekte bu sorunla karşılaşmaktan çok korkanları endişelendiriyor.
- I.V. Boriskina, A.A. Plotnikov, A.V. Zakharov "Sivil binalar için modern pencere sistemlerinin tasarımı"
Smirnova Dana
Yalıtımsız duvarların özellikleri
Birçok odada duvar yalıtımı tamamen yoktur. Bu tür durumlarda, yerine bağlı olarak çiğlenme noktasının davranışı için aşağıdaki seçenekler mümkündür:
- Dış yüzey ile duvarın merkezi arasında (duvarın içi her zaman kurudur).
- İç yüzey ile duvarın merkezi arasında (bölgedeki hava soğursa iç yüzeyde yoğuşma oluşabilir).
- Duvarın iç yüzeyinde (duvar kış boyunca ıslak kalacaktır).
Çiğ noktası lokalizasyonu
Çiğlenme noktasının konumu, yalıtımın hangi tarafta bulunduğuna bağlıdır. Böylece yalıtımsız bir duvarda, hava sıcaklığı ve nemdeki değişikliklere bağlı olarak duvar kalınlığı boyunca kayacaktır. Minimum sıcaklık farkı ile merkez ile dış yüzey arasında duvar kalınlığında yer alacaktır.
Daha sonra duvarın içi kuru kalacaktır. Konumu, iç yüzey ile duvarın merkezi arasında olduğunda, duvar, keskin bir soğuk çırpıda veya donma döneminde içeride ıslanır.


Duvar dışarıdan veya dışarıdan yalıtılabilir veya hiç yalıtılamaz.Çiy noktasının yeri buna bağlı olacaktır.
Dışarıdan yalıtımlı bir duvarda, çiğlenme noktasının konumu optimal olacaktır. Nitekim bu durumda yalıtımın içine yerleştirilecek ve böylece duvarın iç yüzeyi kuru olacaktır. Bu en iyi seçenektir.
Ancak, yalıtımın kalınlığı yanlış seçilmişse, mantar, küf ve duvarların hızlı bir şekilde tahrip edilmesiyle dolu olan çiğ noktası kayabilir.
İçeriden ısıtıcı monte edilen bir duvarda, yaşam alanlarına yakın duvarda yoğuşma oluşur, ısı yalıtım tabakasının altındaki duvarın sıcaklığı düşerek küf oluşumu için en uygun koşulları oluşturur.
Yerelleştirme şu şekilde olabilir:
- duvarın merkezi ile yalıtım arasında ve donlar sırasında veya sınırlarında sıcaklıkta keskin bir düşüş;
- yalıtımın altında kış dönemi boyunca ıslanacak olan duvarın iç yüzeyinde;
- Altındaki duvar gibi tüm soğuk dönem boyunca ıslanacak olan yalıtımın içi.
Gördüğünüz gibi, çiğ noktasının konumu insan konforu ve sağlığı üzerinde önemli bir etkiye sahiptir.
Duvar nasıl düzgün şekilde yalıtılır?
Yalıtımlı bir duvarda, çiğlenme noktası, bir dizi faktöre bağlı olarak yalıtımın farklı yerlerine yerleştirilebilir:
- Su mükemmel bir ısı iletkeni olduğundan yalıtımın ısı yalıtım özellikleri nem seviyesi arttıkça azalır.
- Yalıtım ile duvar yüzeyi arasında yalıtım kusurlarının ve boşlukların varlığı, yoğuşma oluşumu için iyi koşullar yaratır.
- Çiğ damlaları, yalıtımın ısı yalıtım özelliklerini önemli ölçüde azaltır ve ayrıca mantar kolonilerinin gelişmesine yardımcı olur.
Bu nedenle, duvar yalıtımı için nemin duvarlardan geçmesine izin veren malzemelerin kullanılmasının riski anlaşılmalıdır, çünkü bunlar ısı koruma niteliklerinin kaybına ve kademeli tahribata duyarlıdır.
Ek olarak, duvar yalıtımı için seçilen malzemelerin tutuşmaya karşı dayanıklılığına dikkat ettiğinizden emin olun. Organik madde içeriği% 5'ten az olan malzemeleri tercih etmek daha iyidir. Yanmaz olarak kabul edilirler ve yaşam alanlarını yalıtmak için en uygun olanıdır.
Dış duvar yalıtımı
Bir odayı rutubet ve soğuktan korumak için ideal seçenek dış duvar yalıtımıdır (teknolojiye uygun yapılması şartıyla).


Yalıtım kalınlığının en uygun şekilde seçilmesi durumunda, çiy noktası yalıtımın kendisinde olacaktır. Duvar, tüm soğuk dönem boyunca kesinlikle kuru kalacaktır, keskin bir soğuk çırpıda bile, çiy noktası duvarın iç yüzeyine ulaşmayacaktır.
Yalıtımın kalınlığı doğru hesaplanmazsa bazı sorunlar ortaya çıkabilir. Çiy noktası, yalıtım malzemesi ile duvarın dışı arasındaki sınıra hareket edecektir. İki malzeme arasındaki boşluklarda yoğuşma oluşabilir ve nem birikebilir. Kışın, sıcaklık donma noktasının altına düştüğünde nem genleşerek buza dönüşerek ısı yalıtımının ve kısmen de duvarın tahrip olmasına katkıda bulunur. Ayrıca yüzeylerin sabit nemi de küf oluşumuna yol açacaktır.
Teknolojiye tam olarak uyulmaması ve hesaplamalarda büyük hatalar olması durumunda, çiy noktasını duvarın iç yüzeyine kaydırmak mümkündür, bu da üzerinde yoğuşma oluşumuna yol açacaktır.
İç duvar yalıtımı
Duvarı içeriden yalıtmak başlangıçta en iyi seçenek değildir. Yalıtım tabakası ince ise, çiğlenme noktası yalıtım malzemesinin sınırında ve iç duvar yüzeyinde olacaktır. İnce bir ısı yalıtımı tabakasına sahip bir odadaki sıcak hava, pratik olarak duvarın iç tarafına ulaşmayacak ve aşağıdaki sonuçlara yol açacaktır:
- duvarın ıslanma ve donma olasılığı yüksek;
- nemlendirme ve sonuç olarak yalıtımın kendisinin yok edilmesi;
- küf kolonilerinin gelişimi için mükemmel koşullar.


Bununla birlikte, bir odayı ısıtmanın bu yöntemi de etkili olabilir.Bunu yapmak için bazı ön koşullara uymanız gerekir:
- havalandırma sistemi yönetmeliklere uygun olmalı ve ortam havasının aşırı nemlenmesini önlemelidir.
- Yasal gerekliliklere göre çit yapısının ısıl direnci% 30'u geçmemelidir.
İnşaatta yoğuşmanın göz ardı edilme riski nedir?
Kışın, sıcaklığın neredeyse sürekli olarak sıfır derecenin altına düştüğü zaman, oda içindeki sıcak hava, herhangi bir soğuk yüzeyle temas halinde, aşırı soğutulur ve yoğuşma şeklinde yüzeyine düşer. Bu, ilgili yüzeyin sıcaklığının, verilen sıcaklık ve nem için hesaplanan çiğ noktasının altında olması koşuluyla gerçekleşir.
Yoğuşma meydana gelirse, duvar neredeyse her zaman daha düşük bir sıcaklıkta nemlidir. Sonuç, küf oluşumu ve içinde çok çeşitli zararlı mikroorganizmaların gelişmesidir. Daha sonra, çevreleyen havaya geçerek, astım hastalıkları da dahil olmak üzere genellikle odada bulunan sakinlerin çeşitli hastalıklarına yol açarlar.


Ayrıca küf ve mantar kolonilerinden etkilenen evler son derece kısa ömürlüdür. Binanın yıkılması kaçınılmazdır ve bu süreç tam olarak nemli duvarlardan başlayacaktır. Bu nedenle, yapının tasarım ve inşaat aşamasında bile çiğ noktası ile ilgili tüm hesaplamaların doğru yapılması son derece önemlidir. Bu, aşağıdakilerle ilgili doğru seçimi yapmanıza olanak tanır:
- duvar kalınlığı ve malzemesi;
- yalıtımın kalınlığı ve malzemesi;
- duvar yalıtımı yöntemi (iç veya dış yalıtım);
- odada en uygun mikro iklimi sağlayabilen havalandırma ve ısıtma sistemlerinin seçimi (en iyi bağıl nem ve sıcaklık oranı).
Duvardaki çiğlenme noktasını kendiniz hesaplayabilirsiniz. Bu durumda, ikamet edilen iklim bölgesinin özellikleri ve daha önce verilen diğer nüanslar dikkate alınmalıdır. Ancak yine de, pratikte bu tür hesaplamalarla uğraşan uzman inşaat organizasyonlarıyla iletişim kurmak daha iyidir. Ve hesaplamaların doğruluğunun sorumluluğu müşteriye değil, kuruluşun temsilcilerine ait olacaktır.
Çiğ noktası kavramı
Çiy noktası, nemin daha önce içinde buhar halinde bulunan havadan düştüğü veya yoğunlaştığı sıcaklıktır. Başka bir deyişle, inşaattaki çiy noktası, kapalı yapıların dışındaki düşük hava sıcaklığından, nemin görünebileceği, konumu kullanılan malzemelere, kalınlıklarına ve özelliklerine bağlı olarak sıcak iç mekan ısıtmalı odaların sıcak bir sıcaklığına geçişin sınırıdır , yalıtım katmanının konumu ve özellikleri.


Yalıtımsız duvardaki çiğlenme noktası
Normatif belge SP 23-101-2004 "Binaların ısıl korumasının tasarımı" ve SNiP 23-02 "Binaların ısıl koruması" muhasebe koşullarını ve çiğ noktasının değerini düzenler:
"6.2 SNiP 23-02, aşağıdakilere dayalı olarak bir binanın termal koruması için karşılıklı olarak ilişkili üç zorunlu standartlaştırılmış gösterge oluşturur:
"A" - binanın termal korumasının ayrı ayrı kapalı yapıları için ısı transferine karşı normalleştirilmiş direnç değerleri;
"B" - iç havanın sıcaklıkları ile kapalı yapının yüzeyindeki sıcaklık farkının normalleştirilmiş değerleri ile kapalı yapının iç yüzeyindeki çiy noktası sıcaklığının üzerindeki sıcaklık;
"In" - standartlaştırılmış mikro iklim parametrelerini korumak için sistemlerin seçimini dikkate alarak, çevreleyen yapıların ısı koruma özelliklerinin değerlerinin değiştirilmesine izin veren, ısıtma için ısı enerjisi tüketiminin standartlaştırılmış spesifik bir göstergesi.
Konut ve kamu binaları tasarlanırken "a" ve "b" veya "b" ve "c" gruplarının göstergelerinin gereksinimleri karşılanırsa, SNiP 23-02 gereksinimleri karşılanacaktır.
Su buharının yoğunlaşması en kolay şekilde bazı yüzeylerde meydana gelir, ancak yapının içinde nem de görünebilir. Duvar konstrüksiyonuna uygulandığında: Çiy noktasının soğuk mevsimde belirli sıcaklık koşullarında iç yüzeye yakın veya doğrudan iç yüzeye yerleştirilmesi durumunda, yüzeylerde kaçınılmaz olarak yoğuşma oluşacaktır. Çevreleyen yapılar yeterince yalıtılmamışsa veya hiçbir ek yalıtım tabakası olmadan inşa edilmişse, çiy noktası her zaman tesisin iç yüzeylerine daha yakın konumlandırılacaktır.
Yapıların yüzeylerindeki nemin görünümü, hoş olmayan sonuçlarla doludur - sporları her zaman havada bulunan mantar ve küf gibi mikroorganizmaların çoğalması için uygun bir ortam yaratır. Bu olumsuz olaylardan kaçınmak için, çiğ noktasının hesaplanması da dahil olmak üzere çevreleyen yapıları oluşturan tüm elemanların kalınlığını doğru bir şekilde hesaplamak gerekir.
SP 23-101-2004 "Binaların ısıl korumasının tasarımı" normatif belgesinin talimatlarına göre:
"5.2.3 Isı ileten kalıntıların (diyaframlar, çimento-kum harcı veya beton dahil olduğu durumlarda, paneller arası derzler, sert derzler ve çok katmanlı paneller, pencere çerçevelerindeki esnek bağlar) bulunan binanın dış çitinin iç yüzeylerinin sıcaklığı. vb.), köşelerde ve pencere eğimlerinde bina içindeki havanın çiğlenme noktası sıcaklığından daha düşük olmamalıdır ... ".
Bina veya pencere bloklarının içindeki duvarın yüzey sıcaklığı hesaplanan çiy noktası değerinden düşükse, soğuk mevsimde dış hava sıcaklığı negatif değerlere düştüğünde yoğuşma meydana gelebilir.
Sorunun çözümü - çiğ noktasının, fiziksel değerinin nasıl bulunacağı, SNiP ve sıhhi koşullara uygun olarak binaların ısı kaybına karşı gerekli korumasını sağlamak ve tesislerde normal mikro iklim parametrelerini sürdürmek için kriterlerden biridir. ve hijyenik standartlar.