Какво друго се взема предвид при изчисляване на газопровода
В резултат на триене по стените скоростта на газа над участъка на тръбата се различава - тя е по-бърза в центъра. За изчисления обаче се използва средният показател - една условна скорост.
Има два вида движение през тръби: ламинарно (струйно, характерно за тръби с малък диаметър) и турбулентно (има разстроен характер на движение с неволно образуване на вихри навсякъде в широка тръба).

Изчисляване на диаметъра на магистралния газопровод
Газът се движи не само поради външния натиск, упражняван върху него. Слоевете му оказват натиск помежду си. Следователно се взема предвид и хидростатичният фактор на главата.
Скоростта на движение също се влияе от материалите на тръбите. Така че в стоманените тръби по време на работа грапавостта на вътрешните стени се увеличава и осите се стесняват поради свръхрастеж. От друга страна, полиетиленовите тръби се увеличават във вътрешния диаметър с намаляване на дебелината на стената. Всичко това се взема предвид при проектното налягане.
Двутръбна система за отопление на дома характеристики на изчисление, диаграми и монтаж


Дори въпреки относително простия процес на монтаж и относително малката дължина на тръбопровода в случай на еднотръбни отоплителни системи, на пазара на специализирано оборудване двутръбните отоплителни системи все още остават на първите позиции.
Макар и кратък, но много убедителен и информативен списък на предимствата и предимствата на двутръбна отоплителна система, той оправдава покупката и последващото използване на вериги с директна и обратна линия.
Затова много потребители го предпочитат пред други разновидности, като си затварят очите за факта, че инсталирането на системата не е толкова лесно.
Защо се нуждаете от аксонометрична диаграма
Аксонометричната диаграма е триизмерен чертеж на отоплителна система. Просто е нереалистично да се направи хидравлично изчисление на отоплението без него. Чертежът показва:
- тръбопроводи;
- места за намаляване на диаметъра на тръбите;
- поставяне на топлообменници и друго оборудване;
- места за монтаж на фитинги на тръбопроводи;
- обем на батерията.
Penofol често се използва за изолация. Техническите му характеристики позволяват да се използва дори при високи температури, например в парна баня.
За това как правилно да изолираме покрива на гаража писахме в тази статия.
Тяхната топлинна мощност зависи от размера на батериите, които трябва да са достатъчни за отопление на всяка стая. За да изберете радиатори, трябва да знаете топлинните загуби. Колкото по-големи са те, толкова по-мощни топлообменници са необходими. Аксонометрията се извършва по отношение на мащаба.
Как да работя в EXCEL
Използването на таблици на Excel е много удобно, тъй като резултатите от хидравличните изчисления винаги се свеждат до таблична форма. Достатъчно е да определите последователността на действията и да подготвите точни формули.
Въвеждане на първоначални данни
Избира се клетка и се въвежда стойност. Цялата друга информация просто се взема предвид.
- стойността на D15 се преизчислява в литри, така че е по-лесно да се възприеме дебитът;
- клетка D16 - добавете форматиране според условието: "Ако v не попада в диапазона 0,25 ... 1,5 m / s, тогава фонът на клетката е червен / шрифтът е бял."
За тръбопроводи с разлика във входните и изходните височини към резултатите се добавя статично налягане: 1 kg / cm2 на 10 m.
Представяне на резултатите
Цветовата схема на автора носи функционално натоварване:
- Леките тюркоазени клетки съдържат сурови данни - можете да ги промените.
- Бледозелени клетки - константи за въвеждане или данни, които са малко обект на промяна.
- Жълти клетки - спомагателни предварителни изчисления.
- Светло жълти клетки - резултати от изчисленията.
- Шрифтове: син - начални данни;
- черно - междинни / неосновни резултати;
- червено - основните и крайни резултати от хидравличното изчисление.


Резултати в таблицата на Excel
Пример от Александър Воробьов
Пример за просто хидравлично изчисление в Excel за хоризонтален участък на тръбопровод.
- дължина на тръбата 100 метра;
- ø108 mm;
- дебелина на стената 4 мм.


Таблица с резултати от изчислението на местното съпротивление
Като усложнявате поетапни изчисления в Excel, по-добре овладейте теорията и частично спестете от проектирането. Благодарение на компетентния подход, вашата отоплителна система ще стане оптимална по отношение на разходите и преноса на топлина.
Номограми за изчисления на хидравлични тръби
За да се провери загубата на налягане в дадена област, показанията на манометъра се сравняват с таблични данни или се ръководят от функционалната зависимост на скоростта на потока на течността от промените в напрежението (с постоянен диаметър).
Например се използва клон с радиатори от 10 kW. Консумацията на течност се изчислява за пренос на топлинна енергия на ниво 10 kW. Изрязване от първата батерия в клона беше взето като изчислена секция. Диаметърът му е постоянен. Вторият раздел е разположен между 1-ва и 2-ра батерии. Във втория раздел консумацията на консумирана енергия е 9 kW с възможно намаляване.
Изчисляването на хидравличното съпротивление се извършва преди връщащите и захранващите тръби, това се улеснява от формулата:
G uch = (3.6 * Q uch) / (c * (t r-t o)),
където Q uch е нивото на топлинно натоварване на обекта, (W). Топлинното натоварване за 1 секция е 10 kW;
с - (показател за специфичен топлинен капацитет за течност) константа, равна на 4,2 kJ (kg * ° С);
t r е температурният режим на горещата охлаждаща течност;
t o - температурен режим на студения топлоносител.
Хидрокалкулации на отоплителни гравитационни системи: скоростта на транспортиране на охлаждащата течност
Минималната скорост на охлаждащата течност е 0,2-0,26 m / s. С намаляване на параметъра, излишните въздушни маси могат да се освободят от течността, което води до образуването на въздушни брави. Това е причината за пълното или частично отхвърляне на отоплителната система. Горният праг на скоростта на охлаждащата течност е 0,6-1,5 m / s. Недостигането на скорост до зададените параметри може да породи хидравличен шум. На практика оптималната скорост варира от 0,4 до 0,7 m / s.
За по-точни изчисления се използват параметрите на материалите за производство на тръби, Например за стоманени тръби скоростта на флуида варира в диапазона от 0,26-0,5 m / s. При използване на полимерни или медни продукти се допуска увеличаване на скоростта до 0,26-0,7 m / s.
Изчисляване на съпротивлението на отоплителните гравитационни системи: загуба на налягане
Сумата от всички загуби поради хидравлично триене и локално съпротивление се определя в Pa:
Ruch = R * l + ((p * v2) / 2) * E3,
- където v е скоростта на транспортираната среда, m / s;
- p е плътността на течността, kg / m³;
- R е загубата на налягане, Pa / m;
- l е дължината, използвана за изчисляване на тръби, m;
- E3 е сумата от всички локални коефициенти на съпротивление в оборудваната секция на спирателните кранове.
Общото ниво на хидравличното съпротивление се определя от сумата на съпротивленията на изчислените секции.
Хидрокалкулация на двутръбни гравитационни отоплителни системи: избор на основния клон
Ако хидравличната система се характеризира със свързаното транспортиране на охлаждащата течност, за двутръбни системи трябва да изберете пръстена на максимално натоварения щранг през отоплителните устройства, разположени по-долу. За системи, характеризиращи се със задънено движение на охлаждащата течност, е необходимо да изберете пръстена на долното отоплително устройство за най-натоварените от най-отдалечените щрангове. За хоризонтални отоплителни конструкции се избират пръстени през най-натоварените клони, свързани с долните етажи.
Отопление с две линии


Отличителна черта на структурата на конструкцията на двутръбна отоплителна система се състои от две тръбни разклонения.
Първият провежда и насочва водата, загрята в котела, през всички необходими устройства и устройства.
Другият събира и отстранява водата, която вече е охладена по време на работа, и я изпраща към топлинния генератор.
При еднотръбната конструкция на водата, за разлика от двутръбната система, където тя преминава през всички тръби на отоплителни уреди с един и същ температурен индикатор, претърпява значителна загуба на характеристики, необходими за стабилен процес на отопление на подхода към затварящата част на тръбопровода.
Дължината на тръбите и разходите, пряко свързани с нея, се увеличават двойно при избора на двутръбна отоплителна система, но това е относително незначителен нюанс на фона на очевидни предимства.
Първо, за създаването и инсталирането на двутръбна конструкция на отоплителна система изобщо не се изискват тръби с голям диаметър и следователно това или онова препятствие няма да бъде създадено по начина, както в случая на еднотръбна верига.
Всички необходими крепежни елементи, клапани и други структурни детайли също са много по-малки по размер, така че разликата в цената ще бъде много незабележима.
Едно от основните предимства на такава система е, че тя може да бъде монтирана близо до всяка от батериите на термостата и значително ще намали разходите и ще увеличи лекотата на използване.
Освен това тънките разклонения на захранващите и връщащите линии също изобщо не пречат на целостта на вътрешността на жилището; освен това те могат просто да бъдат скрити зад облицовката или в самата стена.
След като разглобиха всички предимства и нюанси на двете отоплителни системи на рафтовете, собствениците, като правило, все още предпочитат да изберат двутръбна система. Необходимо е обаче да се избере една от няколкото опции за такива системи, които според мнението на самите собственици ще бъдат най-функционални и рационални за използване.
Както на практика се разглежда хидравличното съпротивление на отоплителната система.
Инженерите често трябва да изчисляват отоплителните системи за големи съоръжения. Те имат голям брой отоплителни устройства и много стотици метри тръби, но все пак трябва да преброите. Всъщност без GR няма да е възможно да се избере правилната циркулационна помпа. Освен това GR ви позволява да определите дали всичко това ще работи дори преди инсталирането.
За да опростят живота, дизайнерите са разработили различни цифрови и софтуерни методи за определяне на хидравлично съпротивление. Нека започнем от ръчно към автоматично.
Приблизителни формули за изчисляване на хидравличното съпротивление.
Следващата приблизителна формула се използва за определяне на специфичните загуби от триене в тръбопровода:
R = 5104 v1.9 / d1.32 Pa / m;
Тук остава почти квадратична зависимост от скоростта на движение на флуида в тръбопровода. Тази формула е валидна за скорости от 0,1-1,25 m / s.
Ако знаете скоростта на потока на охлаждащата течност, тогава има приблизителна формула за определяне на вътрешния диаметър на тръбите:
d = 0,75√G mm;
След като получите резултата, трябва да използвате следната таблица, за да получите номиналния диаметър:


Най-трудоемко ще бъде изчисляването на местните съпротивления на фитинги, клапани и отоплителни устройства. По-рано споменах коефициентите на локално съпротивление ξ, изборът им се прави според справочните таблици. Ако всичко е ясно с ъглите и спирателните клапани, тогава изборът на KMS за тройници се превръща в цяло приключение. За да стане ясно за какво говоря, нека разгледаме следната снимка:


Картината показва, че имаме цели 4 вида тройници, всеки от които ще има свой собствен CCM на местна съпротива. Трудността тук ще се състои в правилния избор на посоката на потока на охлаждащата течност. За тези, които наистина се нуждаят, ще дам тук таблица с формули от книгата на O.D. Самарина "Хидравлични изчисления на инженерни системи":


Тези формули могат да бъдат прехвърлени в MathCAD или друга програма и да се изчисли CMC с грешка до 10%. Формулите са приложими за скорости на потока на охлаждащата течност от 0,1 до 1,25 m / s и за тръби с номинален диаметър до 50 mm. Такива формули са напълно подходящи за отопление на вили и частни къщи. Сега нека разгледаме някои софтуерни решения.
Програми за изчисляване на хидравлично съпротивление в отоплителни системи.


Сега в Интернет можете да намерите много различни програми за изчисляване на отопление, платени и безплатни. Ясно е, че платените програми имат по-мощна функционалност от безплатните и ви позволяват да решавате по-широк кръг от задачи. Има смисъл да се сдобият с такива програми за професионални инженери по дизайн. За неспециалиста, който иска самостоятелно да изчисли отоплителната система в дома си, безплатни програми ще бъдат достатъчни. По-долу е даден списък на най-често срещаните софтуерни продукти:
- Valtec.PRG е безплатна програма за изчисляване на отоплението и водоснабдяването. Има възможности за изчисляване на топли подове и дори топли стени
- HERZ е цяло семейство програми. Те могат да се използват за изчисляване на еднотръбни и двутръбни отоплителни системи. Програмата има удобно графично представяне и възможност за разделяне на етажни планове. Има възможност за изчисляване на топлинните загуби
- Stream е вътрешна разработка, която е интегрирана CAD система, която може да проектира инженерни мрежи от всякаква сложност. За разлика от предишните, Stream е платена програма. Следователно, обикновен човек на улицата е малко вероятно да го използва. Предназначен е за професионалисти.
Има няколко други решения. Най-вече от производители на тръби и фитинги. Производителите усъвършенстват изчислителни програми за своите материали и по този начин до известна степен ги принуждават да купуват техните материали. Това е такъв маркетингов трик и в него няма нищо лошо.
Класификация на газопроводите
Съвременните газопроводи представляват цяла система от комплекси от конструкции, предназначени да транспортират горивно гориво от местата на неговото производство до потребителите. Следователно според предназначението си те са:
- Багажник - за транспорт на големи разстояния от минни обекти до дестинации.
- Местен - за събиране, разпределение и подаване на газ до обектите на селища и предприятия.


По главните трасета се изграждат компресорни станции, които са необходими за поддържане на работно налягане в тръбите и подаване на газ до определени точки на потребителите в необходимите обеми, предварително изчислени. В тях газът се пречиства, изсушава, компресира и охлажда и след това се връща в газопровода под определено налягане, необходимо за даден участък от преминаването на горивото.
Местните газопроводи, разположени в населените места, са класифицирани:
- По вид газ - могат да се транспортират природен, втечнен въглеводород, смесен и др.
- Под налягане - в различните части на газа има ниско, средно и високо налягане.
- По местоположение - външен (уличен) и вътрешен, надземен и подземен.
Хидравлично изчисление на двутръбна отоплителна система
- Хидравлично изчисление на отоплителната система, като се вземат предвид тръбопроводите
- Пример за хидравлично изчисление за двутръбна гравитационна отоплителна система
Защо се нуждаете от хидравлично изчисление на двутръбна отоплителна система Всяка сграда е индивидуална. В тази връзка отоплението с определяне на количеството топлина ще бъде индивидуално. Това може да се направи с помощта на хидравлично изчисление, докато програмата и таблицата за изчисление могат да улеснят задачата.


Изчисляването на отоплителната система на къщата започва с избора на гориво, въз основа на нуждите и характеристиките на инфраструктурата на района, където се намира къщата.
Целта на хидравличното изчисление, чиято програма и таблица е в мрежата, е както следва:
- определяне на броя на отоплителните устройства, които са необходими;
- изчисляване на диаметъра и броя на тръбопроводите;
- определяне на възможната загуба на отопление.
Всички изчисления трябва да се извършват според отоплителната схема с всички елементи, които са включени в системата. Подобна диаграма и таблица трябва да бъдат предварително съставени. За да извършите хидравлично изчисление, ще ви е необходима програма, аксонометрична таблица и формули.


Двутръбна отоплителна система на частна къща с по-ниско окабеляване.
Като обект на проектиране се приема по-натоварен пръстен на тръбопровода, след което се определя необходимото напречно сечение на тръбопровода, възможни загуби на налягане на целия отоплителен кръг и оптималната площ на радиаторите.
Извършването на такова изчисление, за което се използват таблицата и програмата, може да създаде ясна картина с разпределението на всички съпротивления в отоплителния кръг, които съществуват, а също така ви позволява да получите точни параметри на температурния режим, консумацията на вода във всяка част от отоплението.
В резултат на това хидравличното изчисление трябва да изгради най-оптималния план за отопление за вашия собствен дом. Не разчитайте единствено на интуицията си. Програмата за таблици и изчисления ще опрости процеса.
Необходими артикули:
Какво е хидравлично изчисление и защо е необходимо?
Хидравличното изчисление (наричано по-долу GR) е математически алгоритъм, в резултат на който получаваме необходимия диаметър на тръбата в тази система (което означава вътрешния диаметър). Освен това ще стане ясно коя циркулационна помпа трябва да използваме - определят се напорът и дебитът на помпата. Всичко това ще направи възможно отоплителната система да стане икономически оптимална. Направен е на основата на законите на хидравликата - специален раздел от физиката, посветен на движението и равновесието във флуидите.
Основни уравнения за хидравлично изчисление на газопровод
За да се изчисли движението на газ през тръбите, се вземат стойностите на диаметъра на тръбата, разхода на гориво и загубата на глава. Изчислява се в зависимост от характера на движението. С ламинарно - изчисленията се извършват строго математически по формулата:
Р1 - Р2 = ∆Р = (32 * μ * ω * L) / D2 kg / m2 (20), където:
- ∆Р - kgm2, загуба на глава поради триене;
- ω - m / sec, скорост на горивото;
- D - m, диаметър на тръбопровода;
- L - m, дължина на тръбопровода;
- μ - kg сек / m2, вискозитет на течността.


При турбулентно движение е невъзможно да се приложат точни математически изчисления поради хаотичния характер на движението. Следователно се използват експериментално определени коефициенти.
Изчислено по формулата:
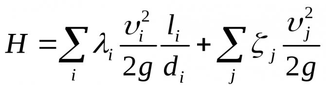
Р1 - Р2 = (λ * ω2 * L * ρ) / 2g * D (21), където:
- Р1 и Р2 - налягане в началото и в края на тръбопровода, кг / м2;
- λ - безразмерен коефициент на съпротивление;
- ω - m / sec, средна скорост на газа над участъка на тръбата;
- ρ - kg / m3, плътност на горивото;
- D - m, диаметър на тръбата;
- g - m / sec2, ускорение на гравитацията.
Видео: Основи на хидравличното изчисляване на газопроводи
Избор на въпроси
- Михаил, Липецк - Какви остриета за рязане на метал да използвам?
- Иван, Москва - Какво представлява GOST на валцуваната ламарина?
- Максим, Твер - Какви стелажи за съхранение на валцуван метал са по-добри?
- Владимир, Новосибирск - Какво означава ултразвукова обработка на метали без използване на абразивни вещества?
- Валери, Москва - Как да изковате нож от лагер със собствените си ръце?
- Станислав, Воронеж - Какво оборудване се използва за производството на въздуховоди от поцинкована стомана?
Хидравлично балансиране
Балансирането на спада на налягането в отоплителната система се извършва посредством контролни и спирателни клапани.


Хидравличното балансиране на системата се основава на:
- проектно натоварване (масов дебит на охлаждащата течност);
- данни за динамично съпротивление от производители на тръби;
- броя на местните съпротивления в разглеждания район;
- технически характеристики на арматурата.
Характеристиките за настройка - спад на налягането, закрепване, капацитет на потока - се задават за всеки клапан. Според тях се определят коефициентите на потока на охлаждащата течност във всеки щранг и след това във всяко устройство.
Загубата на налягане е право пропорционална на квадрата на дебита на охлаждащата течност и се измерва в kg / h, където
S е произведението на динамичното специфично налягане, изразено в Pa / (kg / h), и намаления коефициент за локалните съпротивления на участъка (ξpr).
Намаленият коефициент ξпр е сумата от всички съпротивления на локалната система.
Защо е необходимо да се изчисли газопроводът
По всички участъци от газопровода се извършват изчисления, за да се идентифицират местата, където е възможно да се появят възможни съпротивления в тръбите, променяйки скоростта на подаване на гориво.
Ако всички изчисления са направени правилно, тогава може да се избере най-подходящото оборудване и да се създаде икономичен и ефективен дизайн на целия дизайн на газовата система.
Това ще ви спести от ненужни, надценени показатели по време на експлоатация и разходи в строителството, които биха могли да бъдат по време на планирането и монтажа на системата без хидравлично изчисление на газопровода.


Има по-добра възможност за избор на желания размер в напречно сечение и тръбни материали за по-ефективно, бързо и стабилно подаване на синьо гориво до планираните точки на газопроводната система.
Осигурен е оптималният режим на работа на целия газопровод.
Разработчиците получават финансови ползи, като същевременно спестяват от покупки на техническо оборудване и строителни материали.
Правилното изчисление на газопровода се прави, като се вземат предвид максималните нива на разход на гориво през периоди на масово потребление. Всички индустриални, общински, индивидуални нужди на домакинствата са взети под внимание.
Преглед на програмата
За удобство на изчисленията се използват аматьорски и професионални програми за изчисляване на хидравликата.
Най-популярен е Excel.
Можете да използвате онлайн изчислението в Excel Online, CombiMix 1.0 или онлайн калкулатора за хидравлично изчисление. Стационарната програма е избрана, като се вземат предвид изискванията на проекта.
Основната трудност при работа с такива програми е липсата на познания за основите на хидравликата. В някои от тях няма декодиране на формули, не се разглеждат характеристиките на разклоняване на тръбопроводи и изчисляването на съпротивленията в сложни вериги.
- HERZ C.O. 3.5 - изчислява, използвайки метода на специфична линейна загуба на налягане.
- DanfossCO и OvertopCO - могат да отчитат естествените циркулационни системи.
- "Flow" (Potok) - ви позволява да приложите метода на изчисление с променлива (плъзгаща се) температурна разлика в щранговете.
Необходимо е да се изяснят параметрите за въвеждане на данни за температурата - в Келвин / Целзий.
Изчисляване на обема на водата и капацитета на разширителния резервоар


Обемът на разширителния резервоар трябва да бъде равен на 1/10 от общия обем течност
За да изчислите експлоатационните характеристики на разширителен резервоар, което е задължително за всяка отоплителна система от затворен тип, ще трябва да се справите с явлението увеличаване на обема на течността в него. Този показател се оценява, като се вземат предвид промените в основните работни характеристики, включително колебанията в неговата температура. В този случай тя се променя в много широк диапазон - от стайна +20 градуса и до работни стойности в диапазона 50-80 градуса.
Ще бъде възможно да се изчисли обемът на разширителния резервоар без излишни проблеми, ако използвате груба оценка, доказана на практика. Той се основава на опита на експлоатационното оборудване, според който обемът на разширителния резервоар е около една десета от общото количество охлаждаща течност, циркулираща в системата.
В този случай се вземат предвид всички негови елементи, включително радиатори за отопление (батерии), както и водната риза на котелното устройство.За да определите точната стойност на необходимия индикатор, ще трябва да вземете паспорта на използваното оборудване и да намерите в него елементите относно капацитета на батериите и работния резервоар на котела
След определянето им не е трудно да се намери излишната охлаждаща течност в системата. За това първо се изчислява площта на напречното сечение на полипропиленовите тръби и след това получената стойност се умножава по дължината на тръбопровода. След обобщаване за всички клонове на отоплителната система към тях се добавят номерата за радиаторите и котела, взети от паспорта. След това една десета се брои от общия брой.
Изчисляване на параметрите на охлаждащата течност


Количеството охлаждаща течност в 1 м от тръбата, в зависимост от диаметъра
Изчисляването на охлаждащата течност се свежда до определянето на следните показатели:
- скоростта на движение на водните маси през тръбопровода с посочените параметри;
- средната им температура;
- консумация на носител, свързана с изискванията за производителност на отоплителното оборудване.
Известните формули за изчисляване на параметрите на охлаждащата течност (като се вземе предвид хидравликата) са доста сложни и неудобни в практическата употреба. Онлайн калкулаторите използват опростен подход, който ви позволява да получите резултат с приемлива грешка за този метод.
Независимо от това, преди да започнете инсталацията, е важно да се притесните за закупуването на помпа с показатели, не по-ниски от изчислените. Само в този случай има увереност, че изискванията за системата съгласно този критерий са напълно изпълнени и че тя е в състояние да затопли помещението до комфортни температури.
Хидравлично изчисление на прост композитен тръбопровод


,


Изчисленията на прости тръбопроводи се свеждат до три типични задачи: определяне на напора (или налягането), дебита и диаметъра на тръбопровода. Освен това се разглежда методологията за решаване на тези проблеми за опростен тръбопровод с постоянно напречно сечение.
Задача 1
... Като се имат предвид: размерите на тръбопровода и


грапавостта на стените му


, свойства на течността


, дебит на течността Q.
Определете необходимата глава H (една от стойностите, които съставляват главата).
Решение
... Уравнението на Бернули е съставено за потока на дадена хидравлична система. Задават се контролни секции. Избрана е референтна равнина
Z.(0.0)
, първоначалните условия се анализират. Уравнението на Бернули се съставя, като се вземат предвид първоначалните условия. От уравнението на Бернули получаваме проектна формула от типа ٭. Уравнението се решава по отношение на H. Определя се числото на Рейнолдс Re и се задава режимът на движение. Стойността е намерена


в зависимост от режима на шофиране. Н и желаната стойност се изчисляват.
Цел 2.
Като се имат предвид: размерите на тръбопровода и


, грапавостта на стените му


, свойства на течността


, глава N. Определете дебита Q.
Решение.
Уравнението на Бернули е съставено, като се вземат предвид препоръките, дадени по-рано. Уравнението се решава по отношение на търсената стойност Q. Получената формула съдържа неизвестен коефициент


в зависимост от Re. Директно местоположение


при условията на този проблем е трудно, тъй като за неизвестно Q Re не може да се установи предварително. Следователно по-нататъшното решение на задачата се извършва по метода на последователните приближения.
- приближение: Re → ∞


, определяме


2 приближение:


, намираме
λII(RдII,Δами)
и дефинирайте


Намерете относителната грешка


... Ако


, тогава решението приключва (за образователни проблеми


). В противен случай решението се изпълнява в третото приближение.
Цел 3.
Дадени: размери на тръбопроводите (с изключение на диаметър d), грапавост на стените му


, свойства на течността


, напор Н, дебит Q. Определете диаметъра на тръбопровода.
Решение
... При решаването на този проблем възникват трудности с директното определяне на стойността


подобно на проблема от втория тип. Следователно, решението е препоръчително да се извърши графично-аналитичният метод. Посочени са няколко диаметъра


.За всеки


се намира съответната стойност на налягането H при даден дебит Q (проблемът от първия тип се решава n пъти). Въз основа на резултатите от изчисленията се изгражда графика


... Необходимият диаметър d се определя съгласно графиката, съответстваща на дадената стойност на налягането H.


Хоризонтални и вертикални оформления
Такава отоплителна система е разделена на хоризонтални и вертикални схеми по местоположението на тръбопровода, свързващ всички устройства и устройства в едно цяло.


Вертикален отоплителен кръг се различава от другите по това, че в този случай всички необходими устройства са свързани към вертикален щранг.


Въпреки че компилацията му ще излезе в крайна сметка малко по-скъпа, но стабилната работа няма да бъде възпрепятствана от застоя на въздуха и задръстванията. Това решение е най-подходящо за собствениците на апартаменти в сграда с няколко етажа, тъй като всички отделни етажи са свързани поотделно.
Двутръбната отоплителна система с хоризонтален кръг е идеална за едноетажна жилищна сграда с относително голяма дължина, в която е по-лесно и по-рационално да се свържат всички налични радиаторни отделения към хоризонтален тръбопровод.
И двата типа вериги на отоплителната система могат да се похвалят с отлична хидравлична и температурна стабилност, само в първата ситуация, във всеки случай ще е необходимо да се калибрират щранговете, разположени вертикално, а във втория - хоризонтални контури.
Видове отоплителни системи
Задачите на инженерния дизайн от този вид се усложняват от голямото разнообразие от отоплителни системи, както по отношение на мащаба, така и по конфигурацията. Има няколко вида отоплителни централи, всеки от които има свои собствени закони:
1. Двутръбна задънена система - най-често срещаната версия на устройството, подходяща за организиране както на централни, така и на индивидуални отоплителни кръгове.


Двутръбна тупикова отоплителна система
2. Еднотръбна система или "Ленинградка" Счита се за най-добрият начин за изграждане на граждански отоплителни комплекси с топлинна мощност до 30–35 kW.


Еднотръбна отоплителна система с принудителна циркулация: 1 - отоплителен котел; 2 - група за сигурност; 3 - отоплителни радиатори; 4 - кран на Маевски; 5 - разширителен резервоар; 6 - циркулационна помпа; 7 - изтичане
3. Двутръбна система от преминаващ тип - най-интензивният материал за отделяне на отоплителните кръгове, който се отличава с най-високата известна стабилност на работа и качеството на разпределение на охлаждащата течност.


Двутръбна свързана отоплителна система (контур на Тихелман)
4. Разположение на лъча в много отношения това е подобно на двутръбно пътуване, но в същото време всички контроли на системата са изведени до една точка - до сборния колектор.


Контур за радиационно отопление: 1 - котел; 2 - разширителен резервоар; 3 - захранващ колектор; 4 - отоплителни радиатори; 5 - връщащ колектор; 6 - циркулационна помпа
Преди да преминете към приложената страна на изчисленията, трябва да направите няколко важни предупреждения. На първо място, трябва да научите, че ключът към висококачественото изчисление се крие в разбирането на принципите на работа на флуидните системи на интуитивно ниво. Без това разглеждането на всяко отделно решение се превръща в преплитане на сложни математически изчисления. Втората е практическата невъзможност да се представят повече от основни понятия в рамките на един преглед; за по-подробни обяснения е по-добре да се обърнете към такава литература за изчисляването на отоплителните системи:
- В. Пирков „Хидравлично регулиране на отоплителни и охладителни системи. Теория и практика "2-ро издание, 2010
- Р. Яушовец „Хидравликата - сърцето на отоплението на водата“.
- Ръководство за хидравлика на котелно помещение от De Dietrich.
- А. Савелев „Отопление вкъщи. Изчисляване и инсталиране на системи ".
Определяне на загубите на налягане в тръбите
Съпротивлението срещу загуба на налягане във веригата, през която циркулира охлаждащата течност, се определя като тяхната обща стойност за всички отделни компоненти. Последните включват:
- загуба в първи верига, обозначена като ∆Plk;
- местни разходи за топлоносителя (∆Plm);
- спад на налягането в специални зони, наречени „топлинни генератори“ с обозначение ∆Ptg;
- загуби във вградената топлообменна система ∆Pto.
След сумиране на тези стойности се получава желаният индикатор, който характеризира общото хидравлично съпротивление на системата ∆Pco.
В допълнение към този обобщен метод има и други методи за определяне на загубата на глава в полипропиленови тръби. Един от тях се основава на сравнение на два показателя, свързани с началото и края на тръбопровода. В този случай загубата на налягане може да бъде изчислена чрез просто изваждане на началните и крайните му стойности, определени от два манометра.
Друга възможност за изчисляване на желания показател се основава на използването на по-сложна формула, която отчита всички фактори, които влияят на характеристиките на топлинния поток. Следното съотношение отчита преди всичко загубата на течност в главата поради голямата дължина на тръбопровода.
- h - загуба на течност в главата, в разглеждания случай, измерена в метри.
- λ - коефициент на хидравлично съпротивление (или триене), определен по други изчислителни методи.
- L е общата дължина на обслужвания тръбопровод, която се измерва в текущи метри.
- D е вътрешният стандартен размер на тръбата, който определя обема на потока на охлаждащата течност.
- V е дебитът на флуида, измерен в стандартни единици (метър в секунда).
- Символът g е ускорението поради гравитацията, равно на 9,81 m / s2.


Загубите на налягане възникват поради триенето на течността върху вътрешната повърхност на тръбите
Загубите, причинени от висок коефициент на хидравлично триене, представляват голям интерес. Това зависи от грапавостта на вътрешните повърхности на тръбите. Използваните в този случай съотношения са валидни само за стандартните заготовки с кръгла тръба. Крайната формула за намирането им изглежда така:
- V е скоростта на движение на водните маси, измерена в метри / секунда.
- D е вътрешният диаметър, определящ свободното пространство за движение на охлаждащата течност.
- Коефициентът в знаменателя показва кинематичния вискозитет на течността.
Последният индикатор се отнася до постоянни стойности и се намира в специални таблици, публикувани в големи количества в Интернет.
Изчисляване на хидравликата на водна отоплителна система
Охлаждащата течност циркулира през системата под налягане, което не е постоянна стойност. Той намалява поради наличието на сили на триене на водата върху стените на тръбите, устойчивост на тръбните фитинги и фитинги. Собственикът на къщата също прави своята част, като регулира разпределението на топлината в отделните помещения.


Налягането се повишава, ако температурата на нагряване на охлаждащата течност се повиши и обратно - спада, когато намалява.
За да се избегне дисбалансирането на отоплителната система, е необходимо да се създадат условия, при които към всеки радиатор се подава толкова охлаждаща течност, колкото е необходимо за поддържане на зададената температура и запълване на неизбежните топлинни загуби.
Основната цел на хидравличното изчисление е да се съпоставят прогнозните мрежови разходи с действителните или експлоатационните разходи.
На този етап на проектиране се определят:
- диаметър на тръбите и тяхната производителност;
- локални загуби на налягане в отделни секции на отоплителната система;
- изисквания за хидравлично балансиране;
- загуба на налягане в цялата система (общо);
- оптимален дебит на охлаждащата течност.
За производството на хидравлично изчисление е необходимо да се извърши някаква подготовка:
- Съберете базови данни и ги организирайте.
- Изберете метод на изчисление.
На първо място, дизайнерът изучава топлотехническите параметри на съоръжението и извършва топлотехническото изчисление. В резултат на това той разполага с информация за количеството топлина, необходимо за всяка стая. След това се избират отоплителните устройства и източникът на топлина.


Схематично представяне на отоплителна система в частна къща
На етапа на разработване се взема решение за вида на отоплителната система и се избират характеристиките на нейното балансиране, тръби и фитинги. След завършване се съставя аксонометрична електрическа схема, разработват се етажни планове, посочващи:
- мощност на радиатора;
- консумация на охлаждаща течност;
- поставяне на отоплително оборудване и др.
Всички раздели на системата, възлови точки се маркират, изчисляват и дължината на пръстените се прилага към чертежа.
Изчисляване на хидравликата на отоплителния канал


Компетентно изчислената хидравлика позволява правилното разпределение на диаметъра на тръбата в цялата система
Хидравличното изчисление на отоплителната система обикновено се свежда до избора на диаметрите на тръбите, положени в отделни участъци от мрежата. При провеждането му трябва да се вземат предвид следните фактори:
- стойността на налягането и неговите разлики в тръбопровода при дадена скорост на циркулация на охлаждащата течност;
- прогнозния му разход;
- типични размери на използваните тръбни продукти.
При изчисляване на първия от тези параметри е важно да се вземе предвид капацитетът на помпеното оборудване. Трябва да е достатъчно за преодоляване на хидравличното съпротивление на отоплителните кръгове. В този случай общата дължина на полипропиленовите тръби е от решаващо значение, с увеличаване, при което се увеличава общото хидравлично съпротивление на системите като цяло.
Въз основа на резултатите от изчислението се определят показателите, които са необходими за последващата инсталация на отоплителната система и отговарят на изискванията на действащите стандарти.
В този случай общата дължина на полипропиленовите тръби е от решаващо значение, с увеличаване, при което се увеличава общото хидравлично съпротивление на системите като цяло. Въз основа на резултатите от изчислението се определят показателите, необходими за последващо инсталиране на отоплителната система и отговарящи на изискванията на настоящите стандарти.
Какво е хидравлично изчисление
Това е третият етап в процеса на създаване на отоплителна мрежа. Това е система от изчисления, която ви позволява да определите:
Според получените данни се извършва избор на помпи.
За сезонно жилище, при липса на електричество в него, е подходяща отоплителна система с естествена циркулация на охлаждащата течност (връзка към прегледа).
Сложни задачи - минимизиране на разходите:
- капитал - монтаж на тръби с оптимален диаметър и качество;
- оперативен:
- зависимост на разхода на енергия от хидравличното съпротивление на системата;
- стабилност и надеждност;
- безшумност.


Замяната на централизирания режим на отопление с индивидуален опростява методологията за изчисление
За офлайн режим са приложими 4 метода хидравлично изчисление на отоплителната система:
- специфични загуби (стандартно изчисляване на диаметъра на тръбата);
- по дължини, намалени до един еквивалент;
- по характеристиките на проводимост и съпротивление;
- сравнение на динамичния натиск.
Първите два метода се използват с постоянен спад на температурата в мрежата.
Последните две ще помогнат за разпределението на топлата вода през пръстените на системата, ако температурната разлика в мрежата престане да съответства на разликата в щранговете / клоните.
